《Journal of Alloys and Compounds》旨在报道化合物和合金组成的材料科学领域应用研究的最新成果,涵盖材料科学、物理冶金学、固态化学和凝聚态物理学等领域,为合金材料科学领域的国际知名顶刊。
近期,我院金属材料系曾迎副教授和钱晓英助理教授以通讯作者在《Journal of Alloys and Compounds》(中科院二区SCI期刊,JCR 1)上发表题为“The dynamic recrystallization and elevated-temperature work hardening behavior of Mg-Y-Sn alloys”的研究论文,该论文的第一作者为2022级本科生魏天淳。
1 论文介绍:
镁合金作为战略性新兴材料,在资源禀赋与技术经济性方面展现出显著优势。材料特性上,镁合金密度为1.74 g/cm³,是迄今为止最轻的金属结构材料,在交通装备轻量化中具备独特潜力。然而镁合金在高温强度下降严重,高温力学性能与铝合金相比较低,一般用于非关键承力结构件。
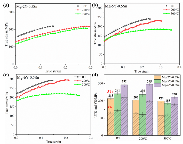
由于高熔点Mg2Sn相的形成,镁锡(Mg-Sn)基合金作为一种潜在的高温结构材料受到广泛关注。然而,Mg-Sn基合金在铸态下呈现粗大的晶粒,导致其力学性能相对较低。通过后续的热变形,借助动态再结晶行为可以在很大程度上改善其微观结构和性能改善。稀土元素(如钇)对调节镁合金的微观结构演变和力学性能的DRX行为具有重要影响。但是,关于改变钇(Y)含量对Mg-Y-Sn合金在高温下DRX行为和加工硬化行为的影响的研究还很少。因此,研究不同Y含量的Mg-Y-Sn合金的DRX行为和加工硬化行为至关重要,有助于耐热镁合金的开发。
基于上述论述,我院曾迎副教授等人以Mg-xY-0.5Sn (x = 2, 5, 6 wt.%)合金为研究对象,关注于不同Y含量Mg-xY-0.5Sn合金的DRX行为和DRX微观结构演变,系统探讨了DRX微观结构对Mg-Y-Sn合金室温和高温加工硬化行为的影响,为耐热镁合金的开发提供了一定的参考价值。
该工作得到了国家自然科学基金、国家重点实验室开放课题、四川省科技厅基础研究项目以及兰州交通大学与对口支援高校联合创新基金项目等的资助。
2 原文链接:
https://www.sciencedirect.com/science/article/pii/S092583882501655X



